奥林匹斯之门 pp电子奥林匹斯之门

    奥林匹斯之门 pp电子奥林匹斯之门动态

    奥林匹斯之门 pp电子奥林匹斯之门愿与业内同行分享 助力各企业在大数据浪潮来临之际一起破浪前行

    技术干货 | XGBoost原理解析

    技术干货 | XGBoost原理解析

    作者简介  

    刘英涛:奥林匹斯之门 pp电子奥林匹斯之门数据推荐算法工程师,负责奥林匹斯之门 pp电子奥林匹斯之门数据个性化推荐系统的研发与优化。

    XGBoost的全称是 eXtremeGradient Boosting,2014年2月诞生的专注于梯度提升算法的机器学习函数库,作者为华盛顿大学研究机器学习的大牛——陈天奇。他在研究中深深的体会到现有库的计算速度和精度问题,为此而着手搭建完成 xgboost 项目。xgboost问世后,因其优良的学习效果以及高效的训练速度而取得广泛的关注,并在各种算法大赛上大放光彩。

    1.CART

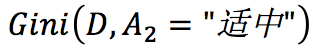
    CART(回归树, regressiontree)是xgboost最基本的组成部分。其根据训练特征及训练数据构建分类树,判定每条数据的预测结果。其中构建树使用gini指数计算增益,即进行构建树的特征选取,gini指数公式如式(1), gini指数计算增益公式如式(2):

    技术干货 | XGBoost原理解析

    技术干货 | XGBoost原理解析表示数据集中类别的概率,表示类别个数。

    注:此处图的表示分类类别。

    技术干货 | XGBoost原理解析

    D表示整个数据集,技术干货 | XGBoost原理解析技术干货 | XGBoost原理解析分别表示数据集中特征为的数据集和特征非的数据集,技术干货 | XGBoost原理解析表示特征为的数据集的gini指数。

    以是否打网球为例(只是举个栗子):

    技术干货 | XGBoost原理解析技术干货 | XGBoost原理解析

    技术干货 | XGBoost原理解析

    其中,技术干货 | XGBoost原理解析最小,所以构造树第一时间使用温度适中。然后分别在左右子树中查找构造树的下一个条件。

    本例中,使用温度适中拆分后,是子树刚好类别全为是,即温度适中时去打网球的概率为1。      

    2.Boostingtree

    一个CART往往过于简单,并不能有效地做出预测,为此,采用更进一步的模型boosting tree,利用多棵树来进行组合预测。具体算法如下:

    输入:训练集技术干货 | XGBoost原理解析

    输出:提升树技术干货 | XGBoost原理解析

    步骤:

    (1)初始化技术干货 | XGBoost原理解析

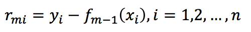
    (2) 对m=1,2,3……M

            a)计算残差技术干货 | XGBoost原理解析

            b)拟合残差技术干货 | XGBoost原理解析学习一个回归树,得到技术干货 | XGBoost原理解析

            c)更新 技术干货 | XGBoost原理解析

    (3)得到回归提升树:技术干货 | XGBoost原理解析

    例子详见后面代码部分。

    3.xgboost

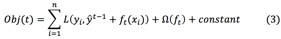
    第一时间,定义一个目标函数:

    技术干货 | XGBoost原理解析

    constant为一个常数,正则项技术干货 | XGBoost原理解析如下,

    技术干货 | XGBoost原理解析

    其中,T表示叶子节点数,技术干货 | XGBoost原理解析表示第j个叶子节点的权重。

    例如下图,叶子节点数为3,每个叶子节点的权重分别为2,0.1,-1,正则项计算见图:

    技术干货 | XGBoost原理解析

    利用泰勒展开式技术干货 | XGBoost原理解析,对式(3)进行展开:

    技术干货 | XGBoost原理解析

    其中,技术干货 | XGBoost原理解析表示技术干货 | XGBoost原理解析技术干货 | XGBoost原理解析的一阶导数,技术干货 | XGBoost原理解析表示技术干货 | XGBoost原理解析技术干货 | XGBoost原理解析的二阶导数。

    技术干货 | XGBoost原理解析为真实值与前一个函数计算所得残差是已知的(我们都是在已知前一个树的情况下计算下一颗树的),同时,在同一个叶子节点上的数的函数值是相同的,可以做合并,于是:

    技术干货 | XGBoost原理解析

    顺利获得对求导等于0,可以得到

    技术干货 | XGBoost原理解析

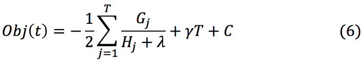
    技术干货 | XGBoost原理解析带入得目标函数的简化公式如下:

    技术干货 | XGBoost原理解析

    目标函数简化后,可以看到xgboost的目标函数是可以自定义的,计算时只是用到了它的一阶导和二阶导。得到简化公式后,下一步针对选择的特征计算其所带来的增益,从而选取合适的分裂特征。

    技术干货 | XGBoost原理解析

    提升树例子代码:

    # !/usr/bin/env python

    # -*- coding: utf-8 -*-

     

    # 目标函数为真实值与预测值的差的平方和

     

    import math

     

    # 数据集,只包含两列

    test_list = [[1,5.56], [2,5.7], [3,5.81], [4,6.4], [5,6.8],

                [6,7.05], [7,7.9], [8,8.7], [9,9],[10,9.05]]

     

    step = 1 #eta

    # 起始拆分点

    init = 1.5

    # 最大拆分次数

    max_times = 10

    # 允许的最大误差

    threshold = 1.0e-3

     

    def train_loss(t_list):

        sum = 0

        for fea in t_list:

            sum += fea[1]

        avg = sum * 1.0 /len(t_list)

        sum_pow = 0

        for fea in t_list:

            sum_pow +=math.pow((fea[1]-avg), 2)

        return sum_pow, avg

     

    def boosting(data_list):

        ret_dict = {}

        split_num = init

        while split_num <data_list[-1][0]:

            pos = 0

            for idx, data inenumerate(data_list):

                if data[0]> split_num:

                    pos = idx

                    break

            if pos > 0:

                l_train_loss,l_avg = train_loss(data_list[:pos])

                r_train_loss,r_avg = train_loss(data_list[pos:])

                ret_dict[split_num] = [pos,l_train_loss+r_train_loss, l_avg, r_avg]

            split_num += step

        return ret_dict

     

    def main():

        ret_list = []

        data_list =sorted(test_list, key=lambda x:x[0])

     

        time_num = 0

        while True:

            time_num += 1

            print ‘beforesplit:’,data_list

            ret_dict =boosting(data_list)

            t_list =sorted(ret_dict.items(), key=lambda x:x[1][1])

            print ‘splitnode:’,t_list[0]

           ret_list.append([t_list[0][0], t_list[0][1][1]])

            if ret_list[-1][1]< threshold or time_num > max_times:

                break

            for idx, data inenumerate(data_list):

                if idx <t_list[0][1][0]:

                    data[1] -=t_list[0][1][2]

                else:

                    data[1] -=t_list[0][1][3]

            print ‘after split:’,data_list

        print ‘split node andloss:’

        print’n’.join([“%st%s” %(str(data[0]), str(data[1])) for data inret_list])

     

    if __name__ == ‘__main__’:

        main()